Shandong Junzheng Chemical Technology Co., Ltd. kompaniyasiga xush kelibsiz.
Mahsulotlar
Navigatsiya
Bizga xabar yuboring
Dekstran bioreaktor qo‘llanmalarida yordam berish uchun donacha shaklida, ayrim o‘lcham-bo‘yicha ajratish xromatografiyasi matritsalarida va biologik molekulalar bilan bog‘liq osmotik stress texnikasi tadqiqotlarida qo‘llaniladi. U metall nanozarrachalarni oksidlanishdan himoya qilish uchun barqarorlashtiruvchi qoplama sifatida ishlatilishi mumkin.
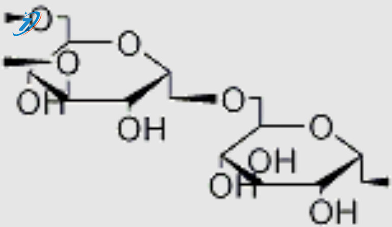
Dekstranlar turli nisbiy molekulyar massalarga ega bo‘lgan uzun zanjirli glyukoza polisaxaridlaridir. Dekstran 70 (nisbiy molekulyar massa 70 000) tomir ichi bo‘shlig‘ida saqlanib qoladi va u yerda albumin kabi plazmaning kolloid onkotik bosimiga hissa qo‘shadi. Albumindan farqli o‘laroq, dekstran 70 katta miqdorda berilganda trombotsitlar agregatsiyasining oldini oladi va fibrinolizni osonlashtiradi.
Xavfsizlik ma’lumotlari
Mahsulot qo‘llanilishi
Dekstran mikrob fermentatsiyasi orqali ishlab chiqariladigan tabiiy polisaxarid bo‘lib, farmatsevtika, oziq-ovqat va kosmetika sohalarida keng qo‘llaniladi. Farmatsevtika sanoatida u odatda plazma hajmini kengaytiruvchi vosita va dori tashuvchi sifatida ishlatiladi, bu mikrosirkulyatsiyani yaxshilashga va dori barqarorligini oshirishga yordam beradi. Oziq-ovqat sanoatida dekstran quyuqlashtiruvchi, barqarorlashtiruvchi va namlikni ushlab turuvchi vosita sifatida xizmat qiladi, tekstura va og‘izdagi hissiyotini yaxshilaydi. Kosmetikada u ajoyib namlovchi va parda hosil qiluvchi xossalarga ega bo‘lib, teri to‘sig‘ini mustahkamlashga va namlanishni kuchaytirishga yordam beradi. U losonlar, kremlar va serumlar kabi formulalarda keng qo‘llaniladi.
Yetkazib berish vaqti
Ombordagi mahsulotlar 2-3 ish kuni Yangi ishlab chiqarish 7-10 ish kuni
Transport turi
1. Havo orqali, tez, lekin qimmat.
2. Dengiz orqali, odatiy va tejamkor.
3. Poyezd orqali, Markaziy Osiyo mamlakatlari uchun mos.
4. Ekspress orqali, kichik paketlar uchun mos.
Biz faqat mavjud bo'lgan eng yuqori sifatli mahsulotlarni taqdim etamiz, sotuvdan keyingi xizmat bilan birga!
1-savol: Mahsulotlaringiz xalqaro standartlarga mos keladimi?
1-javob: Ha, kompaniyamiz xalqaro miqyosda tan olingan bir qator asosiy sertifikatlarga ega. Barcha ishlab chiqarish va operatsion faoliyat xalqaro ekologik, xavfsizlik va sifat standartlariga qat'iy amal qiladi, va mahsulotlarning har bir partiyasi dunyoning turli mintaqalaridagi kimyo sanoati talablariga javob berish uchun muvofiqlik sinov hisobotiga ega bo'ladi.
2-savol: Siz moslashtirilgan mahsulot xizmatlarini taqdim etasizmi?
2-javob: Ha, bizda professional R&D jamoasi va takomillashtirilgan ishlab chiqarish quvvati mavjud. Biz mijozlarning maxsus ehtiyojlariga ko'ra turli spetsifikatsiya va xususiyatlarga ega kimyoviy mahsulotlarni moslashtira olamiz va quyi tarmoqlarning shaxsiylashtirilgan qo'llash ehtiyojlarini qondirish uchun to'liq jarayonli texnik yordam taqdim etamiz.
3-savol: Mahsulotlarning taxminiy yetkazib berish davri qanday?
3-javob: Yetkazib berish davri mahsulot turi, buyurtma miqdori va manzilga qarab farq qiladi. Bizda mahsulotlarni tez va xavfsiz yetkazib berishni ta'minlaydigan mukammal global ta'minot zanjiri tizimi mavjud. Aniq muddat bo'yicha batafsil ma'lumot olish uchun savdo jamoamiz bilan maslahatlashishingiz mumkin.
4-savol: Mahsulot namunalarini qanday olish mumkin?
4-javob: Siz mijozlarga xizmat ko'rsatish bo'limimiz yoki savdo jamoamiz bilan bog'lanib, kerakli namunalar uchun aniq model va spetsifikatsiyani ko'rsatishingiz mumkin. Biz amaldagi vaziyatga ko'ra bepul namunalarni taqdim etamiz, va namunani ekspress yetkazib berish to'lovi kelishilishi mumkin.


